| 일 | 월 | 화 | 수 | 목 | 금 | 토 |
|---|---|---|---|---|---|---|
| 1 | ||||||
| 2 | 3 | 4 | 5 | 6 | 7 | 8 |
| 9 | 10 | 11 | 12 | 13 | 14 | 15 |
| 16 | 17 | 18 | 19 | 20 | 21 | 22 |
| 23 | 24 | 25 | 26 | 27 | 28 | 29 |
| 30 |
- Phytase
- Charoen Pokphand Group
- calcium availability
- broiler
- CTCZYME
- β-mannanase
- Pig
- Xylannase
- CTCBIO
- Low Protein
- C.P. Group
- Palm kernel expeller
- bacteriophage
- Gut health
- β-mannan
- 김인배박사
- Digestibility
- Danish Crown
- Non-starch polysaccharide
- BacterPhage
- CP Group
- Beta-mannanases
- Diseases of Swine
- Disease challenge
- β-Mannanases
- Nutrition
- split feeding
- Exolution
- LAYER
- egg quality
- Today
- Total
CTCBIO Animal Bioscience Blog
β-Mannanase (CTCZYME®) 첨가가 어린 송아지의 성장에 미치는 영향 본문
β-Mannanase (CTCZYME®) 첨가가 어린 송아지의 성장에 미치는 영향
Kwon, KiBeom 2025. 11. 25. 09:50
β-Mannanase (CTCZYME®) 첨가가 어린 송아지의 성장에 미치는 영향
Abstract
본 연구는 송아지용 스타터 사료 내 팔름넛박(palm kernel meal, PKM) 수준(3% vs. 8%)과 β-만난가수분해효소(CTCZYME®, CTCBIO)의 첨가가 사료섭취량, 성장성적, 분변 건강 지표에 미치는 영향을 평가하기 위해 수행되었다.
총 9두의 홀스타인 송아지를 세 처리구로 배분하여,
① PKM 3% 기반의 일반 스타터(CON),
② CON + CTCZYME® 0.1% (TRT1),
③ PKM 8% + CTCZYME® 0.1% (TRT2)를 4주간 급여하였다.
실험 기간 동안 송아지에서 임상적 이상 증상은 관찰되지 않았다.
전반적인 평균 사료섭취량, 성장성적, 분변 특성은 처리 간 유의한 차이가 없었으나, 사료효율은 CTCZYME® 처리에서 다소 향상되는 경향(0.46→0.87→0.52)이 확인되었다.
특히 이유 전에는 TRT2에서 CON 대비 낮은 섭취량(727 vs. 921 g/d)과 일당증체량(631 vs. 786 g/d)이 나타났으나, 이유 후에는 TRT2의 섭취량(2300 g/d)과 ADG(1012 g/d)가 CON(2269 g/d; ADG 560 g/d)과 유사하거나 오히려 높게 나타났다.
이는 고함량 PKM 내 β-만난가수분해효소에 의해 생성된 만난올리고당의 영양생리적 효과에 기인한 것으로 추정된다.
분변 내 Salmonella는 검출되지 않았고, 대장균(E. coli) 수, 분변 색·취·수양지수 또한 처리 간 차이가 없었다.
종합하면, PKM 8%와 CTCZYME® 0.1%를 포함한 송아지의 사료섭취량과 성장성적을 나타내어, 사료비 절감 측면에서 유의미한 이점을 제공할 수 있다.
1. 서론
국제 곡물 가격 상승으로 사료 자원 개발의 필요성이 커짐에 따라, 팜박(palm kernel meal)과 팜박(palm kernel meal)과 같은 저렴한 원료 사료의 가치가 높아짐
CTCZYME®은 만난(mannan)을 분해하는 β-mannanase로 구성되어 있으며, 가축 사료에 첨가 시 성장 및 경제성에 긍정적 연구 결과가 보고됨
본 연구는 CTCZYME® 첨가가 어린 송아지의 성장에 미치는 영향을 알아보기 위해 수행되었음
2. 재료 및 방법
2009년 10월 8일부터 11월 19일까지 국립축산과학원 축산자원개발부에서 홀스타인 송아지 9두를 공시하여 실험 진행
본 시험은 팜커넬박(PKM) 급여 수준(3% vs. 8%)과 CTCZYME®(β-mannanase) 첨가 여부가 송아지의 사료섭취량, 성장성적, 분유섭취, G:F 비율에 미치는 영향을 평가한 4주간의 실험입니다.
처리구는 다음과 같습니다.
- Control: 3% PKM, CTCZYME® 무첨가
- T1: 3% PKM + 0.1% CTCZYME®
- T2: 8% PKM + 0.1% CTCZYME®
| 항목 | 내용 |
| 시험기관 | 충남대학교/ 국립축산과학원 축산자원개발부 |
| 기간 | 생후 5주령 Holstein 송아지 9두 / 4주 |
| 처리구 | CON (대조 팜커널밀 3% ), TRT1 (대조 팜커널밀 3% + CTCZYME 0.1%), TRT2 (팜커널밀 8% + CTCZYME 0.1%) |
| 평가항목 | 일당증체량(ADG), 사료효율(FE), 건강상태 등 |

3. 결과 및 고찰
전 시험기간 송아지의 성장 반응

▶ 일당증체량
| 항목 | Control | T1 | T2 |
| ADG, g/d | 672.6 | 684.5 | 821.4 |
- T2(8% PKM + CTCZYME®)에서 가장 높은 ADG(821 g/d)가 나타남.
- 이는 PKM 수준이 높아질수록 원료 내 β-만난(β-mannan) 함량이 증가하고,
CTCZYME®;의 효소적 작용이 고만난 조건에서 더 두드러지게 나타났을 가능성을 시사함. - T1(3% PKM + CTCZYME®)에서는 Control 대비 경미한 증가로, 저만난 조건에서 효소의 효과가 제한적일 수 있음을 보여줌.
▶ 농후사료(Concentrate) 섭취량
| 항목 | Control | T1 | T2 |
| 농후사료 섭취량, g/d | 1,517 | 1,156 | 1,459 |
▶ 조사료 섭취량
| 항목 | Control | T1 | T2 |
| 조사료 섭취량 g/d | 77.5 | 56.6 | 54.1 |
→ 효소 처리구(T1, T2)에서 조사료 섭취량 감소 경향이 나타남.
효소로 인해 영양소 이용성이 향상되면 상대적으로 조사료 섭취 필요성이 줄어드는 현상을 보일 수 있음.
▶ 총 건물섭취량(Ration DMI)
| 항목 | Control | T1 | T2 |
| Ration DMI, g/d | 1,594 | 1,212 | 1,535 |
- T1의 총 DMI가 가장 낮으나 ADG는 Control과 유사, G:F 비율은 크게 향상됨.
- 이는 CTCZYME®이 사료효율(FE)을 개선시키는 역할을 했음을 시사함.
▶ 사료효율(G:F Ratio)
| 항목 | Control | T1 | T2 |
| G:F | 0.46 | 0.87 | 0.52 |
- T1(3% PKM + CTCZYME®)에서 사료효율이 거의 2배 향상(0.46 → 0.87)
- 이는 본 시험에서 가장 의미 있는 결과이며,
저만난 조건에서도 효소가 영양소 이용 효율을 크게 개선할 수 있음을 보여줌. - T2의 G:F도 Control보다 개선되었으나 T1만큼 두드러지지는 않음.
▶ 결과 해석
- CTCZYME® 첨가는 송아지의 사료효율을 확실히 개선
- 특히 저만난(3% PKM) 조건(T1)에서 G:F가 크게 향상됨.
- 이는 β-mannanase가 장내 항영양인자(β-mannan) 분해를 통해
장 점도 감소 → 소화율 개선 → 에너지 손실 감소의 체계를 반영한 결과.
- 고만난 조건(T2)에서는 성장율(ADG)이 가장 높게 나타남
- PKM 수준이 높을수록 효소 작용 폭이 커질 가능성.
- 총섭취량(DMI) 변동은 있지만, 성적은 오히려 개선됨
→ 이는 효소제가 절대 섭취량 증가가 아니라 영양소 이용성 향상을 통해 효과를 발휘함을 시사. - 통계적 유의성은 제한적(SEM이 크고 유의성 표시 없음)
→ 개체 수가 3두/처리구로 매우 적어 통계력은 부족하지만,
경향성(trend)은 명확히 긍정적.
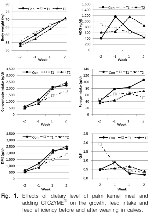
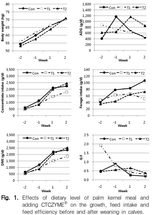
송아지 이유 전·후 성장 반응 요약
▶ 체중 변화
- 처리구 1(3% PKM + CTCZYME)
- 이유 전에는 대조구보다 체중이 높았으나 이유 후에는 대조구와 비슷해짐.
- 처리구 2(8% PKM + CTCZYME)
- 이유 2주 전부터 이유 후 1주까지 대조구보다 낮았으나 이유 후 2주에는 대조구와 비슷해짐.
▶ 일당증체량(ADG)
- 대조구: 이유 2주전 낮았다가 → 이유 1주전 증가 → 이유 후 다시 감소.
- 처리구 1: 이유 2주전 가장 높았으나 이후 점차 감소.
- 처리구 2: 이유 후 ADG가 증가하여 다른 처리구보다 높아짐.
▶ 사료섭취량
- 처리구 1: 농후사료·조사료 섭취량 모두 대조구보다 낮음.
- 처리구 2:
- 농후사료 섭취량은 대조구와 유사
- 조사료 섭취량은 대조구보다 낮음.
▶ 사료효율(G:F)
- 이유 전: 처리구 1이 가장 우수
- 이후 후: 처리구 2가 대조구보다 높은 경향
종합 결론
- 고만난 조건(8% PKM) + CTCZYME®(처리구 2)
- 이유 전에는 섭취량·증체량이 낮았으나
- 이유 후 섭취량 및 ADG가 증가하여 대조구 이상 수준으로 회복·개선됨.
- 이는 PKM 내 β-mannan이 mannanase에 의해 분해되며
만난올리고당(MOS)이 생성되어 장내 환경 개선 및 섭취량·성장 촉진에 기여한 결과로 해석됨.

송아지 분(糞) 성상 및 분내 미생물 분석 요약
▶ 분의 외형적 성상
- 냄새, 경도(consistency), 색, 함수정도(fluidity)
→ 모든 처리구 간 유의차 없음
→ 팜박 수준(3% vs. 8%) 또는 CTCZYME® 첨가 여부가
분의 외형적 품질에는 큰 영향을 주지 않음 - 다만, 이유 후에는 전체적으로 함수정도가 감소하여
→ 장내 소화 안정화 과정과 관련된 일반적 변화로 해석 가능
▶ 분내 E. coli 변화
✔ 이유 1주 전
- 처리구 1(3% PKM + CTCZYME®)의 E. coli 수가
대조구 및 처리구 2보다 상대적으로 높음 - 그러나 통계적 유의성은 없음
→ 개체 변동성 또는 일시적 장내 환경 변화 가능성
✔ 이유 후 변화(공통적으로 E. coli 감소)
- 모든 처리구에서 이유 후 E. coli 수가 감소
- 특히 대조구는 이유 2주 후 E. coli가 검출되지 않음→ 그러나 실험적으로 확정적 원인은 규명되지 않음
(개체 간 장내 미생물 군집 차이, 채취 시기 영향 가능)
▶ Salmonella 분석
- 모든 처리구에서 Salmonella 미검출
→ 사료 구성 및 위생 관리가 적절하게 유지되었음을 시사
▶ 처리구의 경향성
- CTCZYME®; 첨가구(처리구 1, 2)는
대조구보다 E. coli 수가 약간 높은 경향
(유의성 없음) - 이는 기존 연구와 일치하는 결과:
- Spring et al., 2000
→ 만난올리고당(MOS)은 Salmonella 억제에는 효과적이나
다른 장내 미생물(E. coli 등)에는 영향이 미약 - Terre et al., 2007
→ 송아지에서 MOS가 E. coli·C. perfringens 감소 효과 없음
- Spring et al., 2000
종합 요약
- 분의 형태적 특성은 처리구 간 차이가 없었고,
CTCZYME® 첨가가 분의 품질 변화에 영향을 준 근거는 없음. - E. coli는 전체적으로 이유 후 감소하는 패턴을 보였으나,
처리구 간 유의 차이는 없었고,
MOS 생성 증가가 E. coli 감소로 이어지지 않는다는 기존 문헌과 일치. - 팜커넬박(PKM) 증가 및 β-mannanase 첨가가
분내 병원성 미생물 억제 효과를 직접적으로 나타내지는 않음.

4. 결론
본 연구는 어린 송아지에 대한 β-mannanase(CTCZYME®) 첨가 효과를 평가하기 위해, 팜박(PKM) 함량과 효소 첨가 여부에 따라 3개 처리구를 구성하여 성장성과 분 특성을 조사하였다.
그 결과, CTCZYME® 첨가는 통계적으로 유의한 차이를 나타내지는 않았으나 사료효율(G:F)을 개선하는 경향을 보였다.
특히, 8% 팜박 + 0.1% CTCZYME®(처리구 2)의 경우,
- 이유 전에는 사료섭취량과 증체량이 대조구보다 낮았으나
- 이유 후에는 대조구와 동등하거나 오히려 높은 값을 나타내어,
효소 첨가가 이유 후 영양소 이용성 향상에 긍정적으로 작용했음을 시사하였다.
이러한 변화는 만난 함량이 높은 사료에 β-mannanase를 첨가함으로써 만난올리고당(MOS) 생성이 증가하고, 이에 따라 이유 후 사료섭취량과 일당증체량(ADG)의 개선이 나타난 결과로 추정된다.
한편, CTCZYME® 첨가는 송아지 분 내 E. coli 수준에는 영향을 주지 않았으며, 이는 기존 문헌에서 MOS가 Salmonella 억제에는 효과가 있으나 E. coli 감소에는 뚜렷한 영향이 없다고 보고한 결과(Spring et al., 2000; Terre et al., 2007)와 일치한다.
종합하면, CTCZYME® 첨가는 어린 송아지에서 사료효율 개선과 이유 후 성장성 향상에 기여할 가능성이 있으며, 팜박 8% 수준에서도 관행사료와 비교하여 성장 성적에 불리한 영향 없이 적용 가능함을 시사한다.
'CTCZYME > CTCZYME Ruminant' 카테고리의 다른 글
| Enhancement of daily gain and feed efficiency of growing heifers by dietary supplementation of β-mannanase in Hanwoo (0) | 2025.11.25 |
|---|---|
| CTCZYME® 반추가축에서의 영양 보충과 기능성 효과 (1) | 2025.05.30 |
| CTCZYME® 반추가축 생산성 향상 효과 (0) | 2025.05.30 |
| CTCZYME® 반추가축 경제적 응용 전략 (1) | 2025.05.30 |
| CTCZYME®의 반추가축에서의 기대 효과 (0) | 2025.05.30 |
